
Илл. 67. Эволюция мягкого ударного оружия на Западе: морской кош и его потомки, блэк-джеки на любой вкус.
Позже коши моряков трансформировались в небольшие карманные дубинки, кожаная ударная часть которых заполнялась дробью, а коротенькая рукоять делалась гибкой и упругой — из китового уса, витой пружины и т. д. — и тоже обшивалась кожей. Эти дубинки, называемыми «блэк-джеками», можно было незаметно носить в кармане или рукаве, и ими вооружали секретных агентов английской полиции, плюс к тому широко рекламировали как оружие самообороны для мирных граждан. Были и другие разновидности, с другими названиями, но мы на них останавливаться не будем, дабы не превращать наше исследование в справочник по холодному оружию.
Дробь не песок, и дубинкой со свинцовым наполнением убить можно запросто, поэтому английские законы ограничивали вес используемого свинца 10 унциями. Хотя встречаются упоминания и о более тяжелых блэк-джеках — возможно, то были полицейские модели.
Ну, а преступные элементы ничем себя не ограничивали. Подбирали вес, размер и наполнитель под свои задачи — как использовали мягкое ударное оружие «гостиничные крысы», нам уже рассказал тов. Ознобишин в своей книге (ее, кстати, через несколько лет после выхода запретили и изъяли из библиотек: слишком много полезных для преступников сведений в ней содержалось).
Разумеется, смертельную травму Николаю Тибо-Бриньолю нанесли не блэк-джеком и не мошной с серебряными «чешуйками» — откуда было взяться такой экзотике в уральской глуши?
А вот использовать в качестве импровизированного кистеня мешочек со шлиховым золотом, — как мы выяснили, вполне реально для тех мест и того времени. За счет большего удельного веса такое оружие значительно опаснее, чем мешочек со свинцовой дробью, не говоря уж о песке.
Судя по размеру пролома в черепе (9 × 7 см), орудие преступления было со среднюю грушу размером (объем около стакана) и, если догадка о шлиховом золоте верна, весило около 3–3,5 кг. Мешочек с чистым золотом был бы ещё тяжелее: в шлиховом много более легких примесей.
Выше написано достаточно, чтобы стало ясно: удар получился бы бескровный и кожу бы не повредил. Но хватило бы его силы, чтобы случились те внутренние повреждения, что обнаружил судмедэксперт Возрожденный?
Без расчетов не обойтись. Следственный эксперимент провести не представляется возможным: голов вокруг много, но где же взять три с лишним килограмма золота при скромных писательских доходах?
Хорошо, посчитаем, стараясь поменьше грузить тех читателей, кто со школы испытывает неприязнь к формулам и уравнениям. Для этого воспользуемся данными профессора НГУ Н. В. Куриленко, в свое время подсчитавшего кинетическую энергию, необходимую для нанесения полученной Тибо-Бриньолем травмы. Минимально необходимую величину энергии профессор определил как 33,7 Дж (цифры позаимствованы из уже не раз упоминавшегося нами сборника «Перевал Дятлова. Исследования и материалы»).
Вычисляется кинетическая энергия удара по такой формуле:

где m — масса наносящего удар предмета, а V — его скорость.
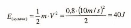
Посмотрим, какая энергия получится, если бить в голову ничем не вооруженной рукой.
Масса кулака мужчины при таких расчетах принимается равной 0,8 кг (на самом деле здесь учитывается масса не только кулака, но не будем вдаваться в излишние тонкости). Скорость удара примем за 10 м/с: с такой скоростью наносит боковой удар тренированный боксер либо каратист второго дана (прямые удары значительно медленнее).
Получаем на выходе:

40 Джоулей — получается, что этого достаточно? Прав был Ракитин — и Тибо-Бриньоля мог убить кулаком тренированный спецназовец?
Нет, не получается, и Ракитин не прав. Далеко не вся кинетическая энергия летящего к голове кулака достанется костям черепа. Что-то отберет упругость соударения, что-то погасит головной убор, но самая большая потеря придется на то, чтобы привести в движение цель удара (проще говоря, голова дернется в сторону). Если черепу достанется четверть кинетической энергии, то уже можно считать, что удар был удачным, нанесенным под углом 90 градусов, — а 10 Дж никак не хватит, чтобы проломить череп так, как он был проломлен у Тибо.
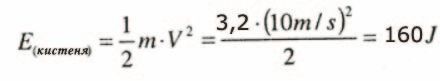
А теперь подставим в ту же формулу вес импровизированного мягкого кистеня, усреднив его до 3,2 кг. Скорость оставим прежнюю, 10 м/с: с одной стороны, она должна вырасти за счет того, что груз на шнурке движется по дуге большего радиуса, но мы сделаем скидку на то, что на Северном Урале в 1959 году едва ли изобиловали каратисты второго дана с их натренированными ударами.
И вот что получается:

Итоговый результат следом за массой вырос в четыре раза, и мы теперь укладываемся в минимальную энергию удара, заданную профессором Куриленко, даже с запасом.
На самом деле эти простенькие формулы лишь относительно применимы к мягкому тяжелому орудию: удар там наносит не один предмет массой 3,2 кг, происходит как бы множество почти одновременных ударов мелкими предметами. Физико-математическая модель такого процесса весьма сложна, но мы не будем вдаваться в научные дебри, ибо итоговая цифра не уменьшится сколько-нибудь значительным образом.
Вывод однозначен: нами обнаружено единственное оружие, способное нанести ту травму, что была нанесена, не оставив внешних следов.
Реконструкция № 3. Приключения двух мешочков, кожаного и полотняного
Вижай, 12 декабря 1958 года
Рейснер ушел.
Рогов выглянул в приемную: нет ли кого? — притворил поплотнее дверь, вернулся за стол, но не высидел и пары секунд — снова вскочил, прошагал к окну…
Гриднев сидел молча, черкал что-то на листке. Потом раздался негромкий хруст, карандаш сломался в руке.
— К себе потопал, немчура поганая, — сказал от окна Рогов и добавил пару непечатных слов, хотя использовал такие крайне редко, в исключительных случаях. — Может, послать к нему Парамошу? Может, врет он все о бумаге, что написал и на сохранение отдал?
— А если не врет? — возразил Гриднев и швырнул обломки карандаша в корзину для бумаг, но промахнулся.
Рогов не нашел, что ответить. Он был азартен, но не любил играть вслепую, не видя хотя бы собственных карт.
— Доставай водку, Северьяныч. Думать будем.
Погорели они давно, еще в самом начале осени, но до поры не догадывались о том. Причем погорели в самом что ни на есть прямом смысле слова: орлы Рогова не то случайно (как утверждал он сам), не то спьяну (как подозревал Гриднев) подожгли лес рядом с прииском. Пал пошел в сторону, ни балки, ни технику не затронув, уперся в Лозьву и сам собой погас. Выгорело всего ничего, каких-то полтора-два гектара, да и лес был так себе, для разработки не пригодный. Повезло.
Они тогда решили, что повезло, не подозревая, что педантичный немец бросовый сгоревший лес заактировал, да еще и накатал жалобу в «Воркутагеологию»: мол, примите меры, накажите, кого следует, и подтяните дисциплину среди своих работников. Понятно, что могли ему из Воркуты ответить. Дескать, что-то вы путаете, товарищ, нет у нас в том районе никаких экспедиций, и к пожару отношения мы не имеем.
Рейснер, получив ответ, волну поднимать не стал. Притих на какое-то время. Но наверняка провел разведку через своих лесников — видели его людей неподалеку.
А теперь вот явился, причем специально подгадал на тот день, когда Рогов будет в Вижае. Разложил всю их махинацию по полочкам и сказал: надо делиться. Хотел много. Не то чтобы затея стала убыточной с учетом доли Рейснера, но доходы обоих компаньонов падали прилично.